글루코사민 효능 논란 주의사항 관절영양제 효과 있나
관절 건강에 도움을 준다고 알려져 있는 글루코사민이 무엇인지 알아보고, 글루코사민의 효능에 대해서도 알아보겠습니다.

글루코사민이란

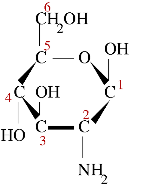
글루코사민은 연골을 구성하는 필수 성분으로 포도당의 2번 탄소에 붙어있는 수산화기 하나가 아민기로 치환된 형태의 아미노당을 뜻합니다.
쉽게 말해서 굴이나 새우, 게 껍데기의 최종 분해 산물로 체내에서 섬유, 수분과 결합하여 관절의 강도와 탄력성을 부여해 튼튼하게 하는데 도움을 준다고 알려져 있습니다.
글루코사민 주의사항


글루코사민은 게, 새우 등의 갑각류 껍데기를 원재료로 제조하므로, 게나 새우에 알레르기를 나타내는 사람은 섭취에 꼭 주의하셔야 합니다.
와파린과도 상호작용이 있으며 혈당에 문제가 있을 때 몸이 당을 처리하는 방식에 영향을 줄 수 있습니다. 사람이 3년 연속 섭취해도 큰 부작용이 없었다고 하지만 장기간동안 과량 복용한 실험 쥐는 신장이 나빠졌다는 결과도 보고되고 있습니다.
글루코사민 효능 논란

글루코사민은 연골의 주요 구성성분이라는 이유로 관절에 좋다는 주장이 생겨 건강식품으로 열풍을 일으켰습니다. 하지만 연골이 좋아지고 싶다는 마음으로 글루코사민을 먹는다고, 연골조직에 글루코사민이 간다는 근거가 없다고 합니다.
그리고 글루코사민은 고분자 덩어리입니다. 글루코사민을 체내 흡수하려면 당과 아미노산으로 쪼개야 하는데 다시 그 당과 아미노산을 고스란히 연골의 글루코사민으로 재합성해주리란 보장도 없습니다.
어찌 됐건 성분 합성에 조금의 도움이라도 주지 않는가 라고 의문을 제기하면 그럴수도 있겠지만 그럴거면 그냥 밥(클루코스)이랑 고기(아미노산)를 먹어서 소화시키는 거랑 다를 바가 없다고 합니다.
나아가서 더 근본적으로 따져보면 글루코사민이 연골의 구성성분일 뿐이지 연골재생에 도움을 주는 성분이라는 근거는 없다고 합니다.
따라서 글루코사민 함유제품은 관절염 치료에 큰 도움이 된다고 볼 수 없고, 관절기능개선 및 연골재생에 대한 효과는 입증되지 않았습니다. 하지만 무릎골관절염에 대해 통증 개선효과가 비스테로이드와 유사하며 관절손상 속도를 늦추는 것은 확인이 되었다고 합니다.
나이가 들면 들수록 신경쓰게 되는 건강 관리에 영양제 복용은 중요하게 느껴집니다. 잘 알아보고, 나에게 맞는 것을 구매하시어 건강을 잘 챙기시길 바랍니다.
긴 글 끝까지 읽어주셔서 감사합니다.
'건강정보' 카테고리의 다른 글
| 카뮤트효소 카무트 효소 효능 카무트 효소가격 총정리 (0) | 2024.04.09 |
|---|---|
| 푸룬주스 성분 푸룬주스 변비 효과 임산부 복용 가능여부 (0) | 2024.04.05 |
| 센트룸 효능 부작용 복용 시 주의사항 총정리 (0) | 2024.04.03 |
| 쏘팔코사놀효능 전립선 지구력 향상 쏘팔메토 (0) | 2024.04.02 |
| 자폐스펙트럼 증상 및 분류 아스퍼거 증후군 일론머스크 (1) | 2024.03.29 |
댓글